If, indeed, its not somehow running slower.
Such third-party customisations will cost more, obviously.
And since, what with drops below 1000 proving painfully sparse outside of big Black Friday-style sales.

Better specs for less money?
I can dig that.
I think we all can, except those who bought a 4080 just before the new Supers were announced.

Sadly, it looks more like that was just an exceptional showing on that single GPUs part.
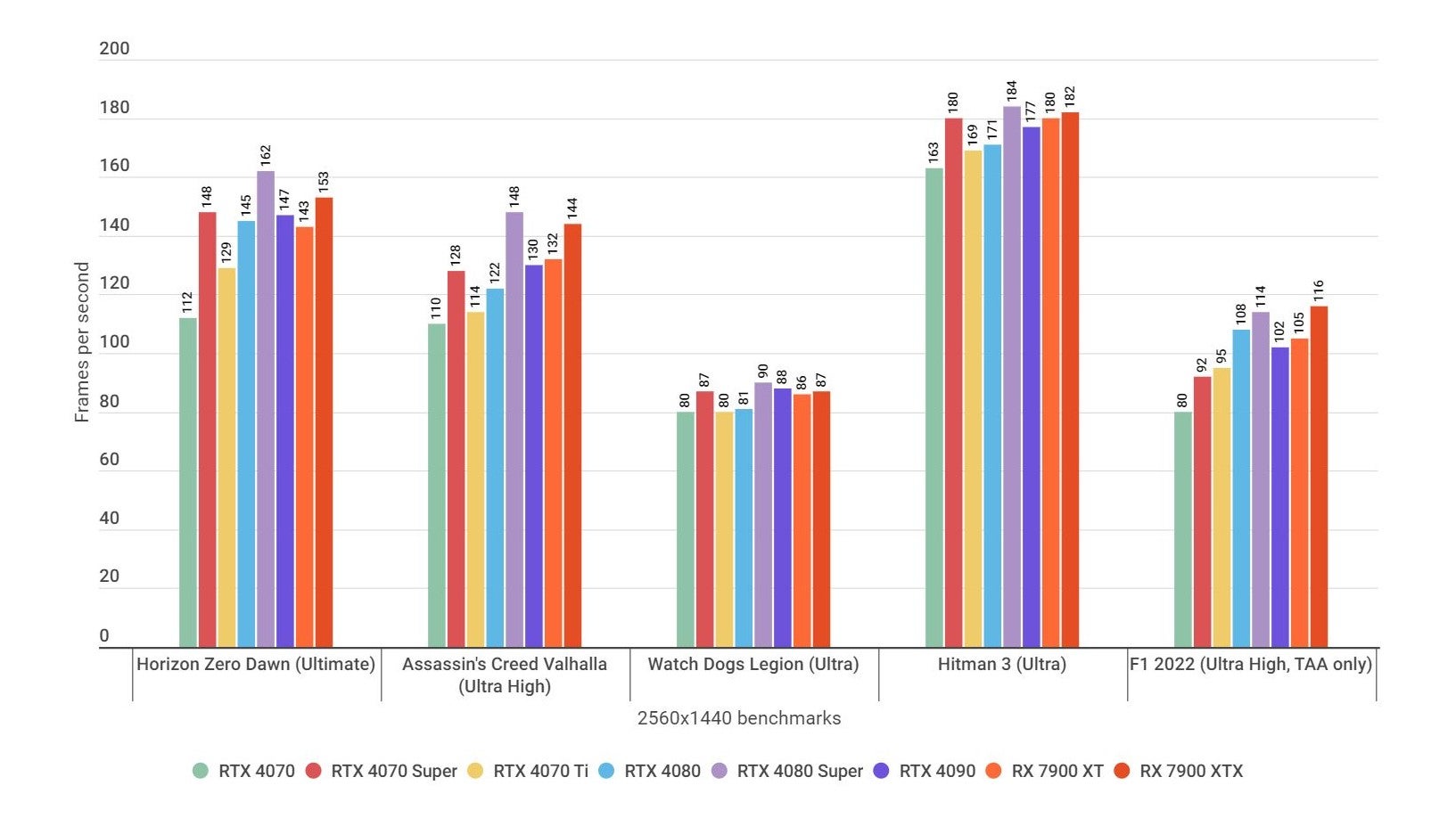
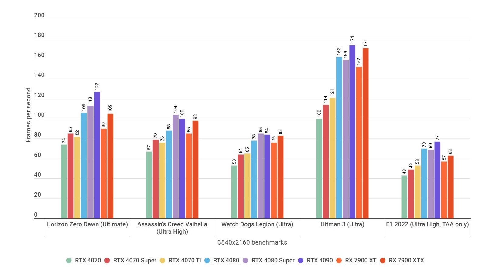
That said, there are as there were at 4K moments of glory.
As youd expect, the RTX 4080 Super also beats the 4070 Super where hardcore ray tracing is involved.
Still, lets not pat the formers back too much when the latter is nearly half the price.
Is it a fast 4K card you should buy, though?
